Products

GHRP-6

CasNo: 87616-84-0

Purity:

Appearance:

Terlipressin

CasNo: 14636-12-5

Purity:

Appearance: White powder

DSIP

CasNo: 62568-57-4

Purity:

Appearance:

Pramlintide

CasNo: 196078-30-5

Purity:

Appearance:

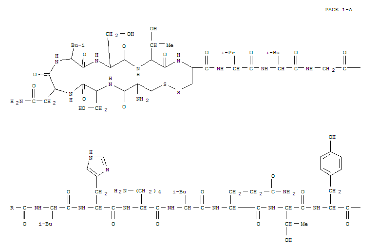
Calcitonin Salmon

CasNo: 47931-85-1

Purity:

Appearance: powder

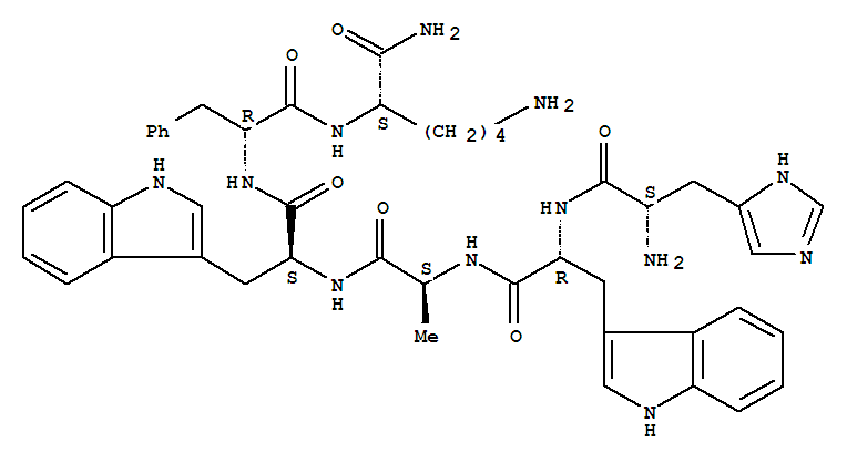
Pehtagastrin

CasNo: 5534-95-2

Purity:

Appearance:

Argipressin

CasNo: 113-79-1

Purity:

Appearance: White powder

Met-Enkephaline

CasNo: 58569-55-4

Purity:

Appearance: White lyophilised solid

Glucagon

CasNo: 16941-32-5

Purity:

Appearance:

Octreotide

CasNo: 83150-76-9

Purity:

Appearance: white powder

Gonadorelin

CasNo: 33515-09-2

Purity:

Appearance: COA

Somatostatin

CasNo: 38916-34-6

Purity:

Appearance: White powder